Vol. 6 / Issue 3
The Current Andes Hantavirus Situation in Argentina (May 2026)
May 14, 2026
Authors: Ifrah Ahmad, Yaneer Bar-Yam
Figure: The well-studied 2018–2019 Andes hantavirus outbreak in Epuyén,...
May 14, 2026
Authors: Ifrah Ahmad, Yaneer Bar-Yam
Figure: The well-studied 2018–2019 Andes hantavirus outbreak in Epuyén,...
Newsletter written by Science Content Team
South Carolina Department of Public Health news briefings, available at...
Authors: Katelyn Miyasaki, Yaneer Bar-Yam
A few months ago, WHN held our first in a series of panels on clean air topics, so we thought it would...
Authors: Ifrah Ahmad, Katelyn Miyasaki, Claire Alexander, David Richter, Ishika Agarwal, Corianne Devine-Spears
What is a respirator mask,...
Authors: Katelyn Miyasaki, Yaneer Bar-Yam, Lani Boschulte
Physician Societies and States Move to Counter the Health Harms of Federal Policy...
Authors: Ifrah Ahmad, Katelyn Miyasaki
Nearly five years after the pandemic began, office occupancy remains at just 50% of pre-pandemic levels ,...
Authors: Katelyn Miyasaki, Ifrah Ahmad, Claire Alexander, Ishika Agarwal
Intro to the CSA Draft
Recently, the Canadian Standards Association...
Authors: Ifrah Ahmad, Katelyn Miyasaki, Yaneer Bar-Yam
On June 11, WHN published a statement expressing ‘grave concern over the ongoing...
Authors: Ifrah Ahmad, Gregory Kirchoff
Previous update October...
A measles outbreak in Texas has exceeded 499 cases with three reported deaths, two children and one adult. Nationwide, 642 measles cases have been...
HICPAC Update
The Healthcare Infection Control Practices Advisory Committee to the CDC (HICPAC) met on Nov 14th and 15th and wrote a response to...
Published on November 13, 2024
Mosquitoes are incredibly annoying pests, but preventing mosquito bites can protect you from a lot more than...
Published on October 25, 2024
Background
Avian influenza, also known as bird flu, has been recognized in poultry since the 1880s,...
Published on October 3, 2024
In August 2024, the WHO declared mpox a public health emergency of international concern (PHEIC) for the second...
Published on January 22, 2024
Masking is making a comeback in healthcare facilities across the globe to protect patients and healthcare workers...
Published on November 27, 2023
Link to monitoring data source: https://www.kastle.com/safety-wellness/getting-america-back-to-work/
The...
Published on September 7, 2023
At the August 22nd HICPAC Infection Control meeting , the CDC advisory group HICPAC faced criticism for their...
Published on August 7, 2023
In a recent trend to improve indoor air quality, multiple states across the US have been finding ways to put HEPA...
Published on June 26, 2023
Wildfire Smoke and Indoor Air Advocacy
On June 7th, wildfire smoke brought New York City’s outdoor air pollution...
Published on May 31, 2023
Physicians and other healthcare workers have been speaking out in public protest against the removal of mask mandates...
Published on April 18, 2023
Tracking XBB.1.16 Lineage Over Time.
XBB.1.16, dubbed “Arcturus,” is surging in India, outcompeting other...
Published on March 14, 2023
The White House announced that the US declaration of a Public Health Emergency (PHE) for COVID-19 is coming to an...
Published on February 10, 2023
Many known COVID-19 prevention strategies are easy enough for schools to put in place, such as improving...
Published on January 17, 2023
There is a new variant rampaging through the world, and experts are alerting to its dangers. XBB.1.5 has...
Published on December 23, 2022
The continuing spread of COVID-19 is now compounded by unprecedented hard-hitting RSV and flu outbreaks. As...
Published on November 15, 2022
Dear Community,Like many of you, in an effort to protect ourselves from COVID we are constantly in search of...
Published on October 14, 2022
The scientific community shares the view that SARS-CoV-2 is airborne: it is transmitted through invisible...
Published on September 23, 2022
Contrary to president Biden’s impromptu announcement, which WHN will address separately, the COVID-19...
Published on September 8, 2022
The rapid rise of monkeypox cases throughout the world in a context of inadequate monitoring and prevention led...
Published on July 20, 2022
BA.5, among the dominant variants spreading globally, is even more infectious and immuno-evasive than previous...
Published on July 1, 2022
As the science of COVID-19 advances, mounting evidence suggests that repeat infections cause damage to our immune...
Published on June 14, 2022
Vaccines for Children under 5 Pending Approval This Week
The long-awaited approval of vaccines for children...
Published on June 3, 2022
Cases of Monkeypox Continue to Surge Internationally
In the past few days Monkepox cases have increased by...
Published on May 31, 2022
Vaccinations Offer Little Protection Against Long COVID
Source
Long COVID refers to many disabling symptoms,...
Published on May 19, 2022
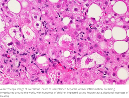
Over 500 Cases of Pediatric Hepatitis in Multiple Countries Under Investigation
Source
Originally reported...
Published on May 18, 2022
Acute Severe Liver Inflammation in Children Around the World:What to Look Out For and How to Keep Them Safe
...
Published on May 10, 2022
Vaccinated people account for 40% of Omicron deaths, analysis finds, multi-layer precautions necessary for safety
...
Published on April 26, 2022
Staff Shortages due to COVID-19 Cause Ambulance and Patient Intake Delays in Overwhelmed UK Hospitals
Source
...
Published on April 15, 2022
Estimates Reveal Nearly 1.7 Million Suffer with the Debilitating Chronic Condition
The number of people...
Published on April 5, 2022
The Pandemic Continues: BA.2 Is Overwhelming Much of Europe and Growing to Dominate in the US, and There Are New...
Published on March 13, 2022
Health During War
Compassion may require courage as well as force. The call to aid the people of Ukraine...
Published on February 28, 2022
COVID-19 Damages the Brain, and Alters the Mind
Reduced grey matter or increased tissue damage of COVID...
Published on February 9, 2022
New Variants: Omicron BA.2 is More Concerning Than Omicron BA.1
Source
We need to stay ahead of the game by...
Published on January 26, 2022
BA.2 growth advantage model (blue line) and observed prevalence (orange dots) as percentage of total Omicron cases...
Published on January 17, 2022
“ We are now faced with the fact that tomorrow is today. We are confronted with the fierce urgency of now. In this...
Published on January 10, 2022
Infection in Children Is Underestimated and Preventable, and Many Children Get Long COVID
Pediatric admissions...
Published on December 25, 2021
Thursday, 50% of the World Had 10,284 New Cases, 2.6 Cases per Million
A few countries,...
Published on December 21, 2021
Protect your family, and others - no infection is safe. Get vaccinated if you can. Get boosted if you can. Use...
Published on December 16, 2021
Especially Against Omicron
With a population of 126 million, Japan has recently reached one case per million...
Published on December 15, 2021
Danish risk projection for Copenhagen (Source)
Transmission beats mortality by a long shot. If Omicron...
Stay involved and discover more every week. Check out our latest Newsletter.
(unmute after load completes)
More
Many studies have now provided strong evidence that the SARS2 virus can enter the brain during...
Can I still get COVID if I'm vaccinated?
Yes. Current vaccines provide limited protection...
Stephane Bilodeau, Kaitlin Sundling, Geraldine A. Hamilton, Yaneer Bar-Yam
After 6-20 million...
In a chaotic world where a nuclear power entered a war of choice, and multiple mass shootings...
